
Cationic redistribution induced spin-glass and cluster-glass states in spinel ferrite
S. Nayak, S. Ghorai, A.M. Padhan, S. Hajra, P. Svedlindh and P. Murugavel
[Phys. Rev. B 106, 174402 (2022)]

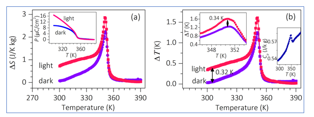
Photoferroelectric effect in Ferroelectric Oxides,
Subhajit Pal, Manu Mohan, K. Shanmuga Priya, and P. Murugavel
[Sci. Rep. 12, 6390 (2022)]

Bulk photovoltaic effect in barium titanate based ferroelectric oxides: An experimental & theoretical study
Subhajit Pal, S. Muthukrishnan, Banasree Sadhukhan, Sarath N. V., D. Murali, and P. Murugavel*
[J. Appl. Phys. 129, 084106 (2021)]

Engineering resonance modes for enhanced magnetoelectric coupling in bilayer laminate composites for energy harvesting applications
Atal Bihari Swain, S. Dinesh Kumar, V. Subramanian, and P. Murugavel
[Phys. Rev. Appl. 13, 024026 (2020)]

Room-temperature magnetization reversal and magnetocaloric switching in Fe substituted GdMnO3
Arnab Pal, Manu Mohan, Adyam Venimadhav, and P. Murugavel
[Phys. Rev. Mater. 4, 044407 (2020)]

Photo-ferroelectric phenomena in ferroelectric oxides and a Rayleigh analysis.
Subhajit Pal, Atal Bihari Swain, Pranab Parimal Biswas, and P. Murugavel
[Phys. Rev. Mater. 4, 064415 (2020)]